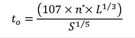
Overland flow time #
For overland flow time, the formula to calculate the time is given as below:

How is the ‘S’ and ‘L’ value determined?
S is the slope of the catchment area. There might be one or more catchment areas draining to one drainage. Hence, the ‘S’ value will be calculated based on the longest path of the flow travel from the catchment area towards the drain.

‘L’ is the length of the longest path of the flow travel from the catchment area towards the drain.
Based on figure above, if the collecting drain is located at Drain 7, hence, the length of the ‘S’ and ‘L’ value will be calculated as the sum up of all the length indicate as red colour arrow in the figure above.
Note that, the slope of the catchment usually behave from high area to lower area. If the ‘S’ and ‘L’ is in negative value, it means that the slope of the catchment area is travelling from low area to high area. This is a modelling error, and hence the user is advised to check the catchment-drain assignment under the catchment mode

As you can see image attached, the ‘S’ value is negative, this is an example of water flow from lower ground to higher ground.
How to calculate the S value? #

Assuming that at A is the furthest catchment highest elevation point, point A (100.5m), and point B is the drain elevation point at 99.5m, then the L is 100m, and S is
S = (100.5 – 99.5) / 100m = 0.01
